當前位置:首頁>>午夜在线观看APP資訊
靜壓跟隨式差壓午夜成人福利片在線檢測裝置的分析研究
發表時間:2019-04-19| 聯係電話:15601403222 、 13915181149
本文主旨:針對靜壓會對差壓午夜成人福利片的測量準確度產生顯著影響的問題,研製了一種新型的靜壓跟隨式差壓午夜成人福利片在線檢測裝置。該裝置是基於差壓傳感器直接測量差壓的原理,采用一個***的差壓傳感器作為標準器,在靜壓跟隨條件下進行差壓午夜成人福利片的檢測。研究中采用了*小二乘法曲線擬合的修正方法,以降低差壓型標準器的靜壓影響誤差,提高標準器的準確度。
0 引言
差壓午夜成人福利片實際使用時是在靜壓狀態下測量液體、氣體和蒸汽的差壓,並將差壓變量轉換為可傳送的標準化輸出信號,主要用於工業過程差壓參數的測量和控製。但是目前差壓午夜成人福利片的檢測通常是在低壓端通大氣的情況下進行的,沒有在午夜成人福利片高、低壓兩端口施加靜態過程壓力,也就是在非靜壓狀態進行檢測,與實際使用狀態不一致。據報道,英國、挪威和法國在近幾年,從 14 個主要製造廠取得的16 台差壓午夜成人福利片樣品的靜壓性能進行了評估,取得了如下的結果:11 台儀表未能滿足製造廠關於靜壓影響的規定指標,靜壓的影響遠大於儀表的準確度要求,其中 2 台儀表在規定的靜壓值情況下,其量程的變化是其允許誤差的 4 倍,可見,靜壓對差壓午夜成人福利片技術特性影響極大。對於靜壓性能差的差壓午夜成人福利片,在靜壓下的差壓檢測結果會產生很大的誤差,如果在檢測差壓午夜成人福利片時沒有施加規定的靜態過程壓力,則檢測的可信度就會大大降低。我國《壓力午夜成人福利片國家計量檢定規程》對差壓午夜成人福利片靜態過程壓力和靜壓影響有特別的規定 。
所以針對靜壓會對差壓午夜成人福利片的差壓測量產生靜壓影響誤差的問題 ,研究了一套靜壓跟隨式差壓午夜成人福利片在線檢測裝置,在靜壓條件下進行差壓的測量。
1 總體設計
靜壓跟隨式差壓午夜成人福利片在線檢測裝置是基於差壓傳感器直接測量差壓的原理,采用一個***的差壓傳感器作為標準器,在高靜壓條件下進行差壓午夜成人福利片的檢測。由於***差壓傳感器本身就具有高靜壓下測量差壓的性能,所以選擇合適的***差壓傳感器直接測量差壓是可行的。傳感器型式的檢測裝置不同於傳統的活塞式檢測裝置,更適合用於現場。
另外,項目**的裝置用於在線檢測,該裝置的準確度等級是根據現場差壓午夜成人福利片的技術指標來定位的,在線檢測的差壓午夜成人福利片多為 0. 5 級及以下準確度等級,所以該項目選擇 0. 05 級***差壓傳感器作為在線測量裝置的計量標準器。
2 裝置的結構和工作原理
靜壓跟隨式差壓午夜成人福利片的在線檢測裝置主要由***的差壓傳感器、壓力傳感器、靜壓自動控製係統、高靜壓差壓調控係統、平衡閥和信號處理電路及顯示單元等幾大部分組成,其結構原理框圖如圖 1所示。

在線檢測裝置基於差壓傳感器直接測量差壓的原理,但靜態工作壓力應保持在工作壓力狀態,即靜壓下的差壓測量。
***差壓傳感器的高、低壓側通過高、低壓容腔分別與被測差壓午夜成人福利片的高、低壓側相連接,高、低壓容腔由一隻平衡閥相連通。靜壓自動控製係統產生規定的靜壓壓力 p 0 送至低壓容腔,待壓力平衡穩定後,***壓力傳感器采集到低壓容腔壓力值p L ,由於平衡閥開啟,高壓容腔壓力 p H 與低壓容腔壓力 p L 相等,且均為靜壓壓力值,即 pH = p L = p 0 ,此時差壓為零。
關閉平衡閥,應用壓力動態密封法,靜壓自動控製係統對低壓容腔進行自動控壓,經過穩壓調整,使其壓力始終保持靜壓值 p 0 。同時手動調節高靜壓差壓調控係統,采用靜壓跟隨的差壓調控技術,增大高壓容腔的壓力值,分別送至差壓午夜成人福利片和***差壓傳感器的高壓側,與低壓側形成壓力差,於是***差壓傳感器直接采集到差壓值 p,經過信號處理單元處理,*終以數顯的形式在顯示裝置上指示出差壓值 p,這裏的 p 即為標準的差壓值,換算成理論輸出電流值,與被測差壓午夜成人福利片的實際輸出值之差即是差壓午夜成人福利片的測量誤差。
繼續調節高靜壓差壓調控係統,可得到在恒定靜壓下的各個差壓值,由***差壓傳感器測量並顯示在裝置的顯示單元上。以上過程實現了差壓午夜成人福利片靜壓跟隨下差壓測量。
3 裝置中標準器的選擇
3. 1 標準器量值溯源的測量模型
***差壓傳感器是裝置的標準器,如何選擇準確度較高的差壓傳感器是項目研究的關鍵。該項目用高靜壓氣體差壓活塞式壓力計作為***差壓傳感器的上一級計量標準器,進行量值傳遞。
***差壓傳感器進行量值溯源的測量模型為:

由測量模型可見,差壓測量值的不確定度主要是由砝碼質量 Δm、活塞有效麵積 s 和重力加速度 g的不確定度分量引入的,如果各不確定度分量數值較小,則差壓測量值的不確定度數值也較小。經過比較分析,將 0. 05 級的***差壓傳感器量值溯源至 0. 01 級的高靜壓氣體差壓活塞式壓力計,符合量傳體係的要求。
3. 2 標準器靜壓影響誤差的修正
由於***差壓傳感器本身是差壓型的傳感器,無論從理論分析還是實際測量都可以發現靜壓對差壓示值的影響。為提高差壓傳感器的準確度,采用了多重誤差曲線的擬合,以減小差壓傳感器的輸出誤差。
用 0. 01 級高靜壓氣體差壓活塞式壓力計,分別在靜壓 0,1,2,3,4 MPa 的條件下,對 0. 05 級的差壓傳感器(壓力輸出)進行了 3 個循環共 6 次測量,取6 次測量的平均值為傳感器實際輸出壓力值,測試數據如表 1 所示。

測試數據表明,在相同靜壓作用下,基本上差壓越大誤差也越大,大致呈線性。隨著靜壓的增大,測量誤差隨之增大。所以首先對相同靜壓下,傳感器的實際輸出差壓值進行線性擬合 [3] 。
設 x 為標準差壓值,z 為傳感器實際輸出差壓值,利用*小二乘法的線性擬合,得到 0,1000,2000,3000,4000 kPa 的靜壓作用下的直線方程分別為:
z =1. 000 173x -0. 001 333 (1)
z =1. 000 053x -0. 001 778 (2)
z =0. 999 953x -0. 005 111 (3)
z =0. 999 847x -0. 018 222 (4)
z =0. 999 750x -0. 021 111 (5)
對式(1) ~ 式(5)分別求導,得到不同靜壓(0,1000,2000,3000,4000 kPa) 下 dz/dx 的值分別為1. 000 173,1. 000 050,0. 999 953,0. 999 847,0. 999 750。
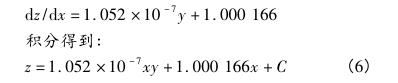
設 y 為靜壓力值,則不同靜壓與 dz/dx 的函數關係可運用*小二乘法進行線性擬合得到:

根據以上分析可知,式(6)中的 C 與靜壓值 y有以下對應關係:
y =0 時,C 1 = -0. 001 333;
y =1000 時,C 2 = -0. 001 778;
y =2000 時,C 3 = -0. 005 111;
y =3000 時,C 4 = -0. 018 222;
y =4000 時,C 5 = -0. 021 111。
由此可見,C 函數可近似為高次方曲線,再一次利用*小二乘法進行曲線擬合可以得到修正公式:

采用式(7)進行修正後,對於靜壓為 0,1,2,3,4 MPa時的*大誤差均有所減少。通過靜壓影響誤差的修正,將***差壓傳感器的差壓測量的準確度進行了優化,減少了靜壓帶來的影響,提高了標準器的準確度。
4 實驗
用靜壓跟隨式差壓午夜成人福利片在線檢測裝置(課題裝置)測試了一台差壓午夜成人福利片,在不同靜壓條件下的電流輸出,與高靜壓氣體差壓活塞式壓力計(標準裝置)測量結果進行比對,結果如圖2 ~圖6 所示。

從以上各圖可知:2 個測量結果具有良好的一致性,靜壓跟隨式差壓午夜成人福利片在線檢測裝置的檢測結果完全可信。
5 結論
靜壓跟隨式差壓午夜成人福利片在線檢測裝置基於差壓傳感器直接測量差壓的原理,較好地實現了差壓午夜成人福利片在靜壓條件下差壓的在線檢測。該文提出的關於靜壓影響的數據擬合曲線是一種思路和嚐試,今後可通過大量的實驗數據來整理得出靜壓對各類型差壓壓力儀表誤差的影響曲線,建立數學模型,減小靜壓影響誤差,為差壓型壓力儀表的質量提升提供技術支持。
受歡迎產品
- 液位壓力午夜成人福利片
- 壓差午夜成人福利片
- 法蘭式液位午夜成人福利片
- 靜壓式液位午夜成人福利片
- 一體化溫度午夜成人福利片
- 壓力液位午夜成人福利片
- 隔膜壓力午夜成人福利片
- 3051壓力午夜成人福利片
- 衛生型壓力午夜成人福利片
- GPRS無線遠傳壓力|差壓|液位|午夜成人福利片,液位計
- 單法蘭液位午夜成人福利片
- 防腐投入式液位午夜成人福利片
- 差壓液位午夜成人福利片
- 磁翻板液位午夜成人福利片
- 雙法蘭液位午夜成人福利片
- 電容式液位午夜成人福利片
- 浮球液位午夜成人福利片
- 電容式液位計
- 差壓午夜成人福利片
- 微壓差午夜成人福利片
*新資訊文章
- 液位計的聯鎖值低於報警值是否不合理?
- 針對雙法蘭液位計膜片保護的安裝改造方法詳解
- 工業自動化設備中常用的壓力午夜成人福利片
- 壓力傳感器的分類、特點以及用途
- 在稠油熱采平台中如何對壓力午夜成人福利片選型及安裝的研究
- 智能液位午夜成人福利片在製漿造紙中的使用說明及維護方法
- 液位午夜成人福利片在製漿紙中的應用和維護情況介紹
- 壓力午夜成人福利片常見故障的四點解決對策
- 加壓鍋爐汽包中利用差壓午夜成人福利片測量封閉水箱水位的調試過程
- 浮球液位午夜成人福利片的產品原理及使用時的注意事項
- 關於生產衛生型壓力午夜成人福利片的衛生級設計的**性要求
- 當使用平膜壓力午夜成人福利片時出現以下誤差是無法避免的
- 壓力午夜成人福利片與壓力傳感器有什麽不同
- 壓力午夜成人福利片常見問題排查5點方法
- 簡述單法蘭與雙法蘭液位午夜成人福利片區別有哪些?
- 為什麽壓力午夜成人福利片的信號輸出常用的是4-20mA dc的原因分析
- 簡述電容式、擴散矽、陶瓷式微差壓午夜成人福利片的區別
- 國內液位午夜成人福利片產業的發展趨勢
- 電容式壓力午夜成人福利片的應用範圍及產品特點介紹
- 決定電容式壓力午夜成人福利片的選型的幾個關鍵參數要求及相應方法











