當前位置:首頁>>午夜在线观看APP資訊
靜壓式液位午夜成人福利片測量液位物理量的計算方法及公式說明
發表時間:2019-05-10| 聯係電話:15601403222 、 13915181149

1、結構原理:
RZ-JY係列靜壓式液位午夜成人福利片是通過測量液體液位高度而產生的靜壓力來測定液體液位。(關於傳感器的工作原理與YZSK-100液位午夜成人福利片相同)
當把液位午夜成人福利片的傳感器部分投入到液體介質中時,傳感器受液體的靜壓作用轉換為電壓信號。電壓信號再經放大並轉換成二線製4-20mADC標準電流信號輸出。
2、工作原理:
傳感器在液體中所受到的靜壓力為:
P=grh+Po
G-重力加速度(常數)
r-液體密度
h液麵待測高度
Po-液麵上方的大氣壓力
當Po不變時,則壓力取決於密度和液位高度的兩個變量,當液體密度為一定值時,液位將與壓力成線性關係。這一壓力作用在壓力傳感器上的感應麵上,將液位壓力轉換為電壓信號。電壓信號經放大直接轉換為二線製4-20mADC標準信號輸出。若液麵上部壓力Po發生變化時,壓力傳感器將受到如同液位變化一樣的影響,為消除由此而引起的測量誤差,URS-100液位午夜成人福利片采用通心導氣電纜設計方法,將液麵上部的壓力導入傳感器背壓麵,從而消除了影響,保證了測量精度。
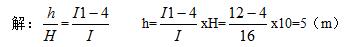
例: URS-100A2E10300-10000-1.0,即量程為10m水柱二線製4-20MADC輸出的液位午夜成人福利片,測量時輸出電流為12mA,求此時所測水位是多少?
已知:量程H=10m
全量程電流變送值I=20-4=16mA
輸出電流:I1=12mA
求:水位高度h

答:所測水位是5m。
受歡迎產品
- 液位壓力午夜成人福利片
- 壓差午夜成人福利片
- 法蘭式液位午夜成人福利片
- 靜壓式液位午夜成人福利片
- 一體化溫度午夜成人福利片
- 壓力液位午夜成人福利片
- 隔膜壓力午夜成人福利片
- 3051壓力午夜成人福利片
- 衛生型壓力午夜成人福利片
- GPRS無線遠傳壓力|差壓|液位|午夜成人福利片,液位計
- 單法蘭液位午夜成人福利片
- 防腐投入式液位午夜成人福利片
- 差壓液位午夜成人福利片
- 磁翻板液位午夜成人福利片
- 雙法蘭液位午夜成人福利片
- 電容式液位午夜成人福利片
- 浮球液位午夜成人福利片
- 電容式液位計
- 差壓午夜成人福利片
- 微壓差午夜成人福利片
*新資訊文章
- 液位計的聯鎖值低於報警值是否不合理?
- 針對雙法蘭液位計膜片保護的安裝改造方法詳解
- 工業自動化設備中常用的壓力午夜成人福利片
- 壓力傳感器的分類、特點以及用途
- 在稠油熱采平台中如何對壓力午夜成人福利片選型及安裝的研究
- 智能液位午夜成人福利片在製漿造紙中的使用說明及維護方法
- 液位午夜成人福利片在製漿紙中的應用和維護情況介紹
- 壓力午夜成人福利片常見故障的四點解決對策
- 加壓鍋爐汽包中利用差壓午夜成人福利片測量封閉水箱水位的調試過程
- 浮球液位午夜成人福利片的產品原理及使用時的注意事項
- 關於生產衛生型壓力午夜成人福利片的衛生級設計的**性要求
- 當使用平膜壓力午夜成人福利片時出現以下誤差是無法避免的
- 壓力午夜成人福利片與壓力傳感器有什麽不同
- 壓力午夜成人福利片常見問題排查5點方法
- 簡述單法蘭與雙法蘭液位午夜成人福利片區別有哪些?
- 為什麽壓力午夜成人福利片的信號輸出常用的是4-20mA dc的原因分析
- 簡述電容式、擴散矽、陶瓷式微差壓午夜成人福利片的區別
- 國內液位午夜成人福利片產業的發展趨勢
- 電容式壓力午夜成人福利片的應用範圍及產品特點介紹
- 決定電容式壓力午夜成人福利片的選型的幾個關鍵參數要求及相應方法











